東北地理所在CO2濃度升高對大豆根際微生物群落結構影響研究取得進展
以CO2濃度升高為主要特征的全球氣候變化已經對農田生態系統產生重大影響,成為全球農業可持續發展的嚴峻挑戰。CO2濃度升高影響植物生理代謝過程,導致植物根系分泌物的總量和化學組成發生改變,進而可能影響土壤微生物群落結構和生態功能。由于土壤微生物驅動碳氮循環,參與土壤養分轉化,揭示CO2濃度升高條件下,根際土壤微生物的群落結構及其與土壤農化指標的關系對土壤生產力可持續發展和提高農業生產的氣候變化適應性將產生重要意義。
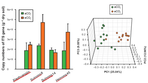
為此,東北地理所農田分子生態學科組于鎮華、李彥生助理研究員和金劍研究員等采用OTC植物生長箱,以自然狀態CO2濃度條件下生長的大豆為對照,采用qPCR及高通量測序(MiSeq)技術,對比研究了高CO2濃度(550 ppm)條件下4種主栽大豆品種根際微生物群落結構組成的變化。研究證實CO2濃度升高對東北黑土生長的大豆根際細菌群落結構產生明顯的影響(圖1),發現高CO2濃度顯著影響15個細菌屬的豐度,而且這種影響程度在不同大豆品種間存在差異;在真菌研究方面,發現CO2濃度升高顯著改變了真菌群落結構并提高了部分大豆品種根際真菌豐度(圖2),微生物網絡分析表明CO2濃度升高簡化了土壤真菌的網絡結構及關鍵菌屬(圖3),而這些變化與土壤理化性質密切相關。此研究結果將有助于預測我國東北黑土微生物對全球氣候變化的響應機制及其與土壤質量的變化關系。
相關研究結果發表在Agriculture, Ecosystems & Environment(2016,2018)上,于鎮華和李彥生博士為共同第一作者,金劍研究員為通訊作者。研究得到了黑龍江省杰出青年科學基金(JC201413)以及國家自然科學基金(41201247, 41271261, 31501259)的聯合資助。

圖1 CO2濃度升高(eCO2)和不升高(aCO2)條 圖2 CO2濃度升高(eCO2)和不升高(aCO2)條件下
件下不同大豆品種根際細菌群落結構PCoA分析 不同大豆品種根際真菌豐度和群落結構PCoA分析

圖3 CO2濃度升高(eCO2)和不升高(aCO2)條件下不同大豆品種根際真菌群落網絡結構Zi-Pi圖
論文信息:
1. Zhenhua Yu, Yansheng Li, Guanghua Wang, Junjie Liu, Judong Liu, Xiaobing Liu, Stephen James Herbert, Jian Jin. Effectiveness of elevated CO2 mediating bacterial communities in the soybean rhizosphere depends on genotypes. Agriculture, Ecosystems and Environment 231 (2016) 229–232.
2. Zhenhua Yu, Yansheng Li, Xiaojing Hu, Jian Jin, Guanghua Wang, Caixian Tang, Junjie Liu, Xiaobing Liu, Ashley Franks, Elenora Egidic, Zhihuang Xie. Elevated CO2 increases the abundance but simplifies networks of soybean rhizosphere fungal community in Mollisol soils. Agriculture, Ecosystems and Environment 264 (2018) 94–98
論文鏈接:
https://www.sciencedirect.com/science/article/pii/S0167880916303577
https://www.sciencedirect.com/science/article/pii/S0167880918301968
附件下載:
吉公網安備22017302000214號