東北地理所在大興安嶺泥炭地磷形態及其古植被重建潛力方面取得進展
磷是陸地系統中重要的生產力限制養分,無機磷和有機磷形態分布是土壤主要化學特性之一,與植被類型和生態系統結構和功能密切相關。在泥炭地發育過程中,磷通常被封存在植被殘體或以穩定的化學形態逐漸累積在泥炭中。但是,磷累積速度不是恒定的,不同發育或演替歷史會導致磷不同形態的分布和積累差異。已有研究發現,磷形態受植被群落、微生物、土壤條件和氣候條件的綜合影響,在早期、中期和后期等不同演替階段表現出不同的含量和百分比特征。磷形態在沉積記錄方面的應用多集中在分析和記錄湖泊或河流沉積物中人類活動信息和上游磷源信息,但應用在泥炭地中作為環境指標的相關研究極其缺乏。
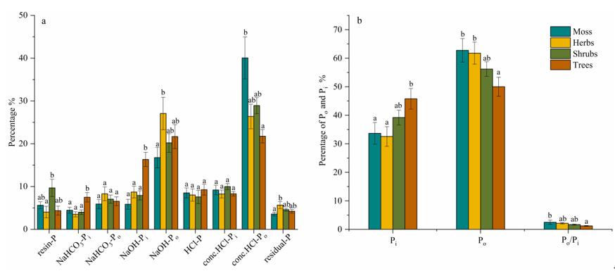
為了探究磷形態記錄泥炭地植被演替歷史的能力,中科院東北地理所濕地演化與生態功能學科組的科研人員在大興安嶺北部選取4種優勢物種(蘚類、草本、灌叢和喬木)下的表土,并鉆取泥炭柱芯。探究表土中不同優勢物種下磷形態的分布規律,篩選合適磷形態作為指標,同時應用到泥炭柱芯每1厘米磷形態的分布反演出植被演替歷史。研究發現,雖然泥炭地中磷形態以有機磷為主,但磷在不同優勢植被下的差異主要集中在無機磷形態和較為穩定的有機磷形態上,其中喬木下土壤無機磷顯著高于其它植被,而蘚類植被有利于土壤有機磷(尤其穩定有機磷)的賦存。
研究同時發現表土蘚類、草本和灌叢土壤磷形態的分布與不同深度柱芯中磷形態的分布存在密切關系,初步確定了柱芯中磷累積源為喬木以外的三種植被。通過判別分析最終選擇了4種磷形態(NaHCO3-Pi, NaON-Pi, conc.HCl-Po和Pi)對泥炭柱芯植被演替歷史重建。重建結果應用微體古生物記錄進行驗證,與該泥炭柱芯的孢粉和植物殘體記錄相關性較高。

圖1 不同植被群落下表土磷形態百分含量

圖2 磷形態重建蘚類、草本和灌叢演替歷史以及孢粉、植物殘體記錄
相關成果發表在國際期刊Journal of Environmental Management上,本研究由東北地理所李蘊慧博士,王國平研究員等在科技部重點研發專項(No.2016YFA0602301),國家自然科學基金(No.42171103,42101108,41911530188)等項目共同資助下完成。
論文信息:
Yunhui Li, Chuanyu Gao, Hanxiang Liu, Dongxue Han, Jinxin Cong, Xiao Li, Guoping Wang*. Distribution of phosphorus forms in surface soils of typical peatlands in northern Great Khingan Mountains and its potential to reconstruct paleo-vegetations. Journal of Environmental Management, 2022, 302,114033. http://doi.org/10.1016/j.jenvman.2021.114033
附件下載:
吉公網安備22017302000214號