東北地理所在長期有機無機配施對黑土磷庫影響的微生物機制研究取得新進展
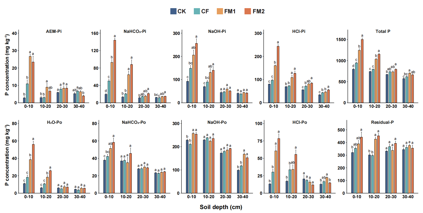
磷是作物生長必需的營養元素,通過施肥措施提高土壤磷有效性對保障糧食安全至關重要。然而,長期單一施用化肥往往導致土壤生態功能退化。雖然有機肥配施化肥已被證實能改善土壤質量,但關于長期有機無機配施如何驅動黑土(0-40 cm)磷組分轉化及其微生物學機制尚不清楚。研究人員選取了長期定位試驗不施肥(CK)、單施化(CF)以及化肥配施不同量牛糞有機肥(FM1, FM2)處理,系統分析了0-40 cm土層土壤磷組分(Hedley-P)及磷循環功能基因的變化特征。結果表明:相比單施化肥,增施牛糞顯著提高了0-20 cm土層中不同磷組分含量,包括活性磷(AEM-Pi, NaHCO3-Pi, H2O-Po, NaHCO3-Po)、中度活性磷(NaOH-Pi, NaOH-Po)以及穩定性磷(HCl-Pi, HCl-Po, Residual-P)。研究表明,有機肥的投入不僅增加了當季磷素有效性,還顯著提升了土壤磷庫的長期儲備能力(圖1)。
不同施肥處理在不同土壤剖面下塑造了獨特的磷相關微生物群落結構和網絡特征。施用有機肥增加了無機磷溶解基因的相對豐度,尤其在0–10 cm和30–40 cm土層,同時降低了所有土層中磷饑餓基因豐度。單施化肥和化肥配施有機肥處理均提高了10–20 cm和30–40 cm土層中有機磷礦化基因的豐度。gcd基因的豐度與表層土壤中的無機磷溶解呈正相關,而ppk1、ppa和ppx基因豐度則與下層土壤中的無機磷溶解呈正相關。宏基因組組裝(MAGs)構建結果表明,深層土壤更有潛力蘊藏參與磷循環的未知微生物譜系及功能基因,這不僅擴展了針對磷循環微生物多樣性的認知,還表明深層土壤是新型微生物譜系和功能基因的儲庫,為篩選研究磷循環基因的潛在模式微生物提供了有價值的見解(圖2)。研究結果提倡化肥配施有機肥以增強表層土壤中微生物對磷的活化,未來的研究應優先對深層土壤微生物類群進行功能驗證,以完善可持續的磷管理策略。
相關研究成果發表于中國科學院一區TOP期刊Agriculture, Ecosystems & Environment,農田分子生態學科組于鎮華副研究員(第一作者)和李彥生副研究員(通訊作者)等共同完成。研究得到了國家重點研發計劃項目(2021YFD1500400,2021YFD1500803),中國科學院戰略性先導科技專項(XDA28100200)以及中國科學院國際合作項目(131323KYSB20210004)聯合資助。

圖1 黑土剖面(0-40 cm)不同磷組分含量。不施肥(CK),單施化肥(CF),CF配施15 Mg ha-1牛糞有機肥(FM1),以及CF配施30 Mg ha-1牛糞有機肥(FM2)

圖2 (A) 基于 GTDB-Tk 的重構高質量宏基因組組裝基因組(MAGs)與參考基因組的系統發育樹。(B) MAGs的相對豐度。(C) MAGs中鑒定的參與磷循環的基因拷貝數。
論文信息如下:
Zhenhua Yu, Changkai Liu, Xiaojing Hu, Mikhail Semenov, Junjie Liu, Jian Jin, Yuan Chen, Xingyi Zhang, Guanghua Wang, Xiaobing Liu, Yansheng Li*. Coupled shifts in phosphorus fractions and P-cycling genes driven by long-term cattle manure amendment across the 0–40 cm profile of a Mollisol. Agriculture, Ecosystems and Environment. 2026. 110279.
鏈接:
https://www.sciencedirect.com/science/article/pii/S0167880926000666
附件下載:
吉公網安備22017302000214號